หน้าหลักมหาวิทยาลัย
Toggle navigation
หน้าหลัก
ข้อมูลสารสนเทศ
เกี่ยวกับเรา
ประวัติความเป็นมา
วิสัยทัศน์ พันธกิจ
อัตลักษณ์ เอกลักษณ์
นโยบาย
คู่มือมาตรฐานการปฎิบัติงาน
ผังองค์กร
ผู้บริหาร,คณาจารย์,บุคลากร
+ ผู้บริหาร
+ คณาจารย์
+ บุคลากร
การเปิดเผยข้อมูลสาธารณะ : OIT
รายงานการประชุมคณะกรรมการคณะฯ
สาขาวิชา/แขนงวิชา
สาขาวิชาการบัญชี
สาขาวิชาเศรษฐศาสตร์ธุรกิจ
แขนงวิชาการบริหารทรัพยากรมนุษย์
แขนงวิชาการเงินและการลงทุน
แขนงวิชาการตลาด
แขนงวิชาธุรกิจระหว่างประเทศ
แขนงวิชาการจัดการธุรกิจบริการ
แขนงวิชาการประกอบการธุรกิจ
หน่วยงาน
ฝ่ายบริหารงานทั่วไป
ฝ่ายคลังและพัสดุ
ฝ่ายบริการการศึกษา
ฝ่ายแผนงานและประกันคุณภาพ
ฝ่ายพัฒนางานวิจัยและบริการวิชาการ
ฝ่ายกิจการนักศึกษาและศิลปวัฒนธรรม
ฝ่ายพัฒนาธุรกิจและจัดหารายได้
หน่วยงานภายนอก
Flow Chart ขั้นตอนการให้บริการ
วิจัย/บริการวิชาการ
องค์ความรู้/แหล่งเรียนรู้
Proceeding ICMSIT 2562/2019
วิจัยระดับปริญญาตรี
+ ปีงบประมาณ 2560
มุมนักศึกษา
หลักสูตรการเรียนการสอน
ขั้นตอนการให้บริการ
แนะแนวและทุนการศึกษา
บริหารงานและสวัสดิภาพ
งานกิจการนักศึกษา
ฝึกประสบการณ์วิชาชีพและสหกิจศึกษา
คลังข้อมูลสถานประกอบการ
ฐานข้อมูลออนไลน์
ติดต่อเรา
ติดต่อเรา
ตอบ ถาม กับ FMS
SMART FMS SSRU Channel
ข่าว
ข่าวประชาสัมพันธ์
มหาวิทยาลัยราชภัฏสวนสุนันทา
หน้าหลัก
>
ข่าว
>
ข่าวประชาสัมพันธ์
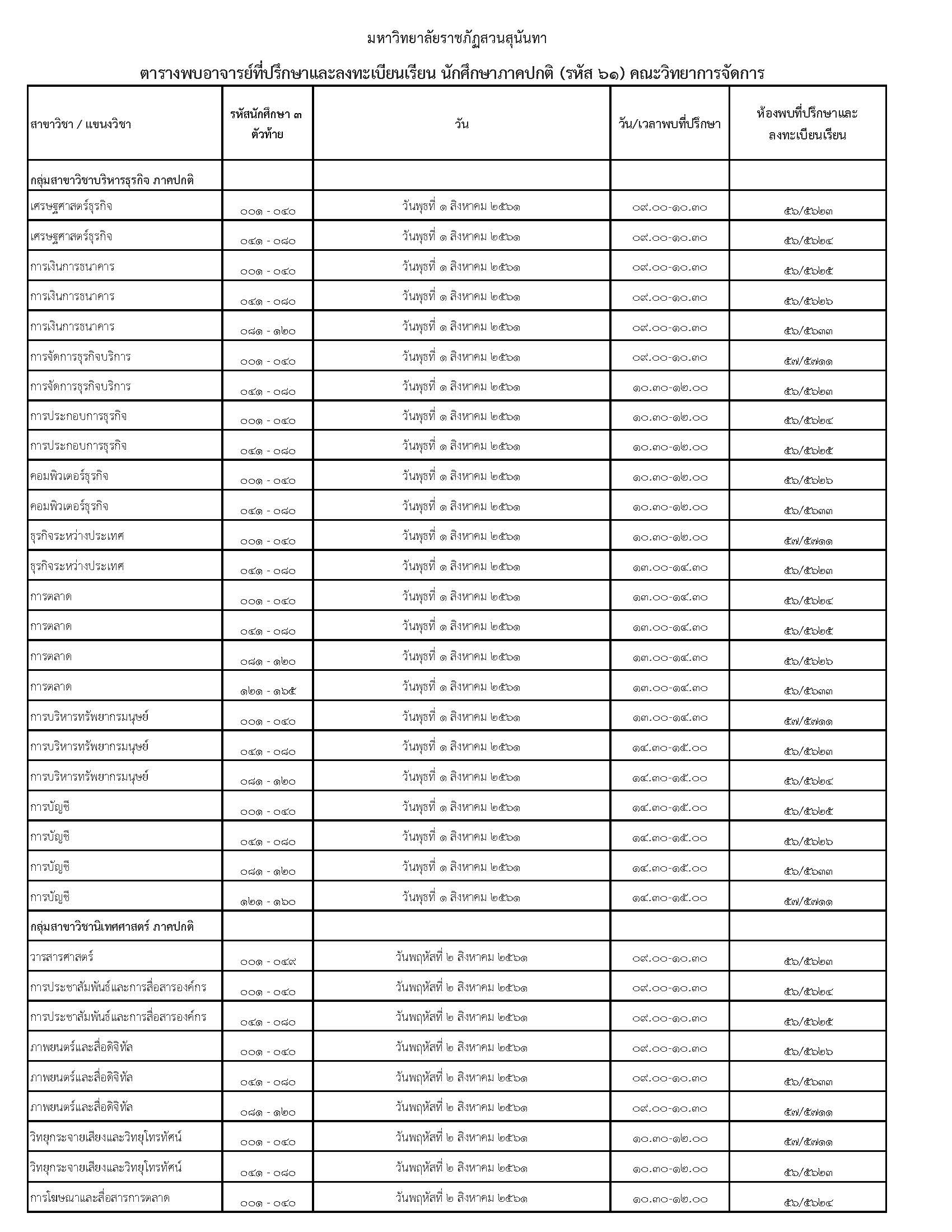
> ตารางพบอาจารย์ที่ปรึกษาและลงทะเบียนเรียน นักศึกษาภาคปกติ (รหัส 61) คณะวิทยาการจัดการ
ตารางพบอาจารย์ที่ปรึกษาและลงทะเบียนเรียน นักศึกษาภาคปกติ (รหัส 61) คณะวิทยาการจัดการ
ผู้ดูแลเว็บ คณะวิทยาการจัดการ
18 เมษายน 2561 16:07:42
Tweet
Email
Download
ตารางพบอาจารย์ที่ปรึกษาและลงทะเบียนเรียน นักศึกษาภาคปกติ2561.pdf
Tweet
Email